Research

Computational imaging of moving objects obscured by a random corridor via speckle correlations

来源: 作者: 发布时间:2022-10-14

Relying on its ability to reconstruct an object hidden beyond the direct line of sight of a camera, computational imaging has recently attracted more and more interest. The potential application of computational imaging ranges from robotic vision, autonomous driving, disaster relief, to medical imaging. In the typical imaging scene widely studied previously, non-line-of-sight imaging always requires a relay surface located in the field of view of both the hidden object and the camera. Non-line-of-sight methods, such as back-projection, light-cone transform, phasor field, computational periscope, and spatial coherence analysis, are able to reconstruct the images of objects obscured by corners, by using the spatiotemporal information of diffuse light reflected from the relay surface. New techniques greatly improve the efficiency, economy, minimum resolution, and maximum working distance of non-line-of-sight imaging. On the other hand, methods such as speckle correlations, wavefront-shaping, and speckle deconvolution are capable of computational imaging through random media and around corners. In spite of recent advances, challenging but important computational imaging in another representative complex environment, a ‘random corridor’ has received little attentions. The random corridor is a tortuous corridor filled with random media, which often exists in rescue scenes such as dusty mines, smoke-filled ventilation ducts, and building corridors. Imaging rescue targets obscured by a random corridor can greatly improve rescue efficiency and protect rescue crews.

In a new study, entitled “Computational imaging of moving objects obscured by a random corridor via speckle correlations”, published on Nature Communications on July 14 , a research group led by Prof. ZHENG Ning’s group from the School of Physics, Beijing Institute of Technology, collaborating with Prof. LI Liangsheng’s group from Science and Technology on Electromagnetic Scattering Laboratory, has made great progress in computational imaging methods based on speckle correlation (Fig.1).

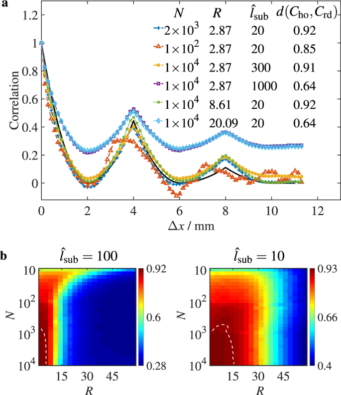
The researchers propose a reduced spatial- and ensemble-speckle intensity correlation (RSESIC) method to image a moving object obscured by a random corridor. Experimental results showcase that this method can reconstruct a sub-millimeter resolution image of a centimeter-sized hidden object with a low-cost digital camera, whether the object is obscured by a random corridor with one or two corners. A correlation fidelity (CF) is defined to characterize the imaging capability of the system, and the dependence of the imaging capability on three system parameters: subspace side length, camera pixel count, and size ratio of pixel to speckle are investigated. If these parameters are inappropriately chosen, the CF will be poor and even unacceptable, resulting in computational imaging failure. The parameter range in which the RSESIC method can correctly image the hidden object is shown. The deterioration of the CF caused by the speckle intensity power attenuation is also studied. Based on the experimental and the theoretical analysis, the image of hidden objects can still be reconstructed after additional correlation renormalization.

The computational imaging method proposed in this paper breaks the limit of the existing methods for imaging through thick random media and around corners, and provides new ideas and insights for imaging researches in complex interference environments.

This study was supported by the National Natural Science Foundation of China and the National Key Research and Development Program of China.

Fig. 1: Imaging in a random corridor with one corner. (Image by Beijing Institute of Technology)

Fig. 2: Influence of imaging system parameters on the RSESIC method. (Image by Beijing Institute of Technology)

Fig. 3: Imaging in a random corridor with two corners. (Image by Beijing Institute of Technology)


Contact:

School of Physics, Beijing Institute of Technology

ZHENG Ning

Email: ningzheng@bit.edu.cn

Key word:

computational imaging; speckle correlations; random corridor; imaging around corners;


Abstract:

Computational imaging makes it possible to reconstruct hidden objects through random media and around corners, which is of fundamental importance in various fields. Despite recent advances, computational imaging has not been studied in certain types of random scenarios, such as tortuous corridors filled with random media. We refer to this category of complex environment as a ’random corridor’, and propose a reduced spatial- and ensemble-speckle intensity correlation (RSESIC) method to image a moving object obscured by a random corridor. Experimental results show that the method can reconstruct the image of a centimeter-sized hidden object with a sub-millimeter resolution by a low-cost digital camera. The imaging capability depends on three system parameters and can be characterized by the correlation fidelity (CF). Furthermore, the RSESIC method is able to recover the image of objects even for a single pixel containing the contribution of about 102 speckle grains, which overcomes the theoretical limitation of traditional speckle imaging methods. Last but not least, when the power attenuation of speckle intensity leads to serious deterioration of CF, the image of hidden objects can still be reconstructed by the corrected intensity correlation.